- You are expected to work individually.
- Due: Monday July 21st at 11pm ET (Baltimore time).
- This assignment is worth 60 points.
Learning Objectives
To practice with:
- Classes and objects
- Constructors, destructors, assignment operators, and the rule of 3
- Templates
- Operator overloading
- Trees (dynamic linked structures)
- Recursion
Overview
In this homework assignment, you will implement a data structure called a Trie (rhymes with “try”), which is a compact and convenient way to represent a set of sequences where many of the sequences will share a common prefix. One important application of tries is representing a dictionary of words in a human language.
You will have two main tasks. The first is to implement the CTrie class, which is a trie representing sequences of characters. The second is to implement the TTrie class, which is a generic (template) version of a trie, capable of representing sequences of any kind of data value.
Trees
Before we introduce tries, here is a brief introduction to trees. You can read more about trees at the Wikipedia page: https://en.wikipedia.org/wiki/Tree_(data_structure).
Trees are similar to linked lists, but rather than each node having a pointer to a single successor, a tree node can contain pointers to some number of — possibly more than one — child nodes. All nodes in a tree are reachable from a root node, which is analogous to the head node in a linked list. (In fact, a linked list can be considered a special case of a tree, where each tree node has at most one child node.) As with a linked list, it is usually the case that connections from one node to another are in one direction only. Leaf nodes in a tree are the nodes which have no children. In a tree, there is a unique path (sequence of nodes) from the root to each leaf. A data structure in which a cycle (looping path) exists or where there are multiple paths from the root to any node is not a tree.
Trees can be considered a recursive data structure because each node in a tree can be considered to be a root. This idea is often stated explicitly by considering the child nodes of a parent node as being the roots of subtrees. Because of the recursive nature of trees, it tends to be very natural to implement tree operations, such as searches, using a recursive computation.
Tries
For a full description of tries, you can read the Wikipedia page: https://en.wikipedia.org/wiki/Trie.
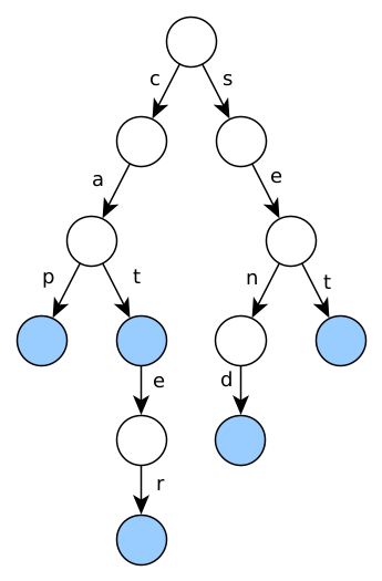
A trie is a tree where each path from root to leaf represents a sequence. The root represents the empty sequence. Each “hop” from a parent node to a child represents one value in the sequence. This means that a path from root to an arbitrary trie node represents a sequence of values. Certain nodes in the trie are marked as “endpoints”. A path from the root to an end point node represents a sequence that is a member of the set of sequences that the trie embodies.
Here is an example of a trie where the “hops” (links) represent letters:

A word is a sequence of letters, and the endpoint nodes in this trie (shaded blue) represent words. So, the trie represents the set of words cap, cat, cater, send, and set.
Tries are a useful way to represent a set of words for two reasons:
- all sequences with a common prefix (cat, cater, catastrophe, catalog, etc.) share the nodes for that prefix; this makes the trie space-efficient for storing sets of sequences with common prefixes (which is very common for words in human languages)
- determining whether a specific word is in the set is easily done by starting at the root and attempting to navigate a path corresponding to the letters in the word being checked: if it is possible to follow the path to an endpoint node, the word is in the set
The CTrie class
The CTrie class represents a node in a trie where the paths
correspond to strings (sequences of character values.)
You will need to implement the following member functions and friend functions.
CTrie(): Default constructor. Creates a CTrie object with no children.
CTrie(const CTrie& rhs): Copy constructor. Makes a deep copy of the
CTrie object passed as the parameter.
~CTrie(): Destructor. Destroys the CTrie object by recursively
deleting all of its children.
CTrie& operator=(const CTrie &rhs): Assignment operator. Recursively
deletes all child nodes, and then recursively copies all child nodes
of rhs, so that the CTrie object being assigned becomes an exact
duplicate of rhs. (I.e., after the assignment, it should contain
exactly the same set of strings as rhs.)
CTrie& operator+=(const std::string& word): Addition/assignment operator to
insert the sequence of characters specified by word into the trie.
It should return a reference to the CTrie object so that these
operations can be chained.
bool operator^(const std::string &word) const: Sequence membership test.
Returns true if word is a sequence of characters represented within
the trie.
bool operator==(const CTrie& rhs) const: Equality comparison operator.
Returns true if the trie for which rhs is the root, represents exactly the
same set of character sequences as the one on the left hand side of the
comparison (i.e., the “receiver object” or “implicit parameter” pointed to by this.)
friend std::ostream& operator<<(std::ostream& os, const CTrie& ct):
Output stream insertion operator. Outputs each sequence of characters
inserted into the trie to os, in lexicographical order, returning the updated ostream.
unsigned numChildren() const: Returns a count of how many children
the CTrie object (root) has.
bool hasChild() const: Returns true if the CTrie object has
at least one child, false otherwise.
bool hasChild(char character) const: Returns true if the CTrie
object has a link to a child node labeled with the specified char value.
const CTrie* getChild(char character) const: Returns a pointer to
the child node reachable by the link labeled with the specified char
value, or nullptr if there is no such child node.
bool isEndpoint() const: Returns true if the CTrie node represents
an endpoint, false if not. The endpoint nodes are the ones representing
a sequence that is a member of the set the trie represents. In a trie
represented by CTrie nodes, each endpoint node represents a string value
that is stored within the trie.
Implementation hints
A good way of storing the links to the child nodes is to use a map where
the keys are char values and the values are CTrie * values.
This representation associates each child node memory address (value) with the
specific character associated with that link (key).
You will also want to have a way of marking which nodes are endpoints.
A bool field is a good way to do this.
You will almost certainly want to use recursion in your implementation
of the += operator, the ^ operator and the << operator.
The basic idea with the ^ operator is that it is being given a string
containing a sequence of characters. If the ^ operator can use each character
in the string, in order, to find links from the root to an endpoint node,
then the word is a member of the trie. (Otherwise, it isn’t a member.)
The += operator to insert a new word into the trie will work in a way
that is somewhat similar to the ^ operator, except that
- It may need to add new nodes, and
- It will need to mark the node representing the end of the word as an endpoint
The << operator to output the entire trie to an ostream should
do a recursive (depth-first) traversal similar to the following pseudo-code:
// os is an ostream, n is a node, s is a string (sequence of characters)
output_trie(os, n, s) {
if (n is an endpoint) {
output s
}
for each child node of n, in order {
updated_s = updated string combining s and the character linking
to the child
output_trie(os, child, updated_s)
}
}
The idea is that the s parameter keeps track of the prefix represented by
the current node (n).
Testing CTrie
You can compile and run the cTrieTest program (source code in CTrieTest.cpp)
to test your implementation of the CTrie class. Because this program tests
most of the member functions of CTrie, you will probably want to start out by
adding “stub” versions of each member function. A stub member function
implementation might look something like this:
// addition/assignment operator
CTrie& CTrie::operator+=(const std::string& word) {
// TODO: implement
assert(false);
return *this;
}
Note that the cTrieTest program is somewhat minimal. We encourage you to
add additional tests to make sure that all of your member functions work
correctly.
Important: Be sure to run the cTrieTest program using valgrind.
It should run without any memory errors or memory leaks.
The wordHunt program
To see a real use case of CTrie and test its functionality, we have provided
the wordHunt program. This is inspired by the Word Hunt game by GamePigeon
found in iOS devices.
You are given a 4x4 grid of letters, and the aim of the game is to form words on the grid. Unlike a word search grid, you are able to form words by adjoining any adjacent letter, though you cannot use the same letter twice. Below is a a screenshot of the game, showing a path spelling the word “rent”:

You can test your CTrie implementation by building this wordHunt program.
The program uses the word bank words.txt which is prefilled with over 170k english words.
This program should incorporate the wordHuntMain.o, WordSearch.o, and
CTrie.o object files. I.e., the Makefile rule for this program could look something like this:
wordHunt: wordHuntMain.o CTrie.o WordHunt.o
$(CXX) -o wordHunt wordHuntMain.o CTrie.o WordHunt.o
You should add additional Makefile rules to compile each of these .o files
from the appropriate C++ source files.
When you run this program, it will load a dictionary of English words
into a trie using your CTrie implementation, and then solve word search
puzzles by finding paths through the letters in each puzzle that correspond
to dictionary words. The output for the above board should look something like this:
( 0, 1 ) : ane and
( 0, 2 ) : nae nah nan
( 0, 3 ) : end enrol
( 1, 0 ) : ort orts
( 1, 1 ) : hand hao holt horn horned
( 1, 2 ) : nod nor north not nos
( 1, 3 ) : den don dona dot doth dots dos
( 2, 0 ) : loan loaned lorn
( 2, 1 ) : roe roan rhea
( 2, 2 ) : rho rod rode rot rots
( 2, 3 ) : one ode ors
( 3, 0 ) : thro throne throned
( 3, 2 ) : trona trone trod trode ton tonne tone toned tod
( 3, 3 ) : son sone sod sot soth
Total Time: 0.95307 seconds
Time taken to form Trie: 0.952531 seconds
Time taken to search Board: 0.000538 seconds
The left side indicates the row and column location of the starting letter. As you can see by the times, using a Trie is incredibly fast!
The TTrie class
The CTrie class can only represent a set of sequences of char values.
However, tries are useful for other kinds of sequences as well.
For example, many academic libraries use the
Library of Congress Classification
system to classify books, so that similar books can be placed together
on the shelves. For example,
The C++ Programming Language, 4th Edition
has the classification QA76.73.C153 S77 2013. Each component of the classification
has a distinct meaning: for example Q is the top-level classification for Science,
and A is the sub-category of Q for Mathematics. If we break up the components
of the classification according to their meaning, we might come up with
something like Q-A-76-73-C-153-S-77-2013, with - separating each component.
Since each value in the sequence can have multiple characters, a trie containing
sequences of string values would be a useful way to represent a collection
of classifications. A generic version of a trie data structure would be useful
for not only this example (storing sequences of strings), but other kinds of
sequences (such as sequences of integers.)
The TTrie class is a generic (templated) version of a trie, which is identical
to CTrie except that
- The type of value in the sequences the trie contains is a type parameter
(
DataType) - A
std::vectorofDataTypevalues is used to represent the member sequences (for the+=insertion operator and the^membership test operator) - When converting sequences to sequences of characters in the
<<operator to output to anostream, a hyphen (-) should be used to separate the values in each sequence
You should complete the implementation of the TTrie class by implementing each
member function and friend function in the TTrie.inc source file.
Testing TTrie
As with CTrie, TTrie has an associated test program, tTrieTest (source code
in TTrieTest.cpp.) Make sure that the tests in this test program pass.
Implementing stub versions of member functions will help in allowing the program
to compile successfully before you have every function fully implemented,
and as with cTrieTest, adding your own tests is a good idea.
Important: As with cTrieTest, don’t forget to run tTrieTest using
valgrind.
Files, Submitting
Provided files
Begin by copying the starter source files, header files, and text (.txt) files
available in the public repo: cs220-summer22-public/homework/hw7/.
You will need to create a Makefile as follows:
- All C++ source files must be compiled with the
-Wall -Wextra -std=c++11 -pedanticcompiler options (and your code should not produce any warnings or errors when compiled with these options) - We highly recommend using the
-gcompiler option to enable debugging make cTrieTestshould build acTrieTestexecutable fromCTrieTest.oandCTrie.omake tTrieTestshould build atTrieTestexecutable fromTTrieTest.o(TTrieis a template class, so there will be noTTrie.oobject file)make wordHuntshould build awordHuntexecutable fromwordHuntMain.o,CTrie.o, andWordHunt.omake allshould build all three executables (cTrieTest,tTrieTest, andwordHunt)make cleanshould delete all.ofiles and executable files
Gitlog
You must include with your submission a copy of the output of git log
showing at least five commits to the repository. Save the git log output
into a file called gitlog.txt (e.g. by doing git log > gitlog.txt).
README
Please submit a file called README (not README.txt or README.md,
etc – just README) including information about what design choices you
made and anything the graders should know about your submission. In your
README you should:
- Write your name and JHED ID at the top of the file.
- Briefly justify the structure of your program; why you defined the functions you did, etc.
- If applicable: Highlight anything you did that was particularly clever.
- If applicable: Tell the graders if you couldn’t do everything. Where did you stop? What did you get stuck on? What are the parts you already know do not work according to the requirements?
Compiling
Your code should compile with no errors or warnings with the typical
command: g++ <source> -Wall -Wextra -std=c++-11 -pedantic.
Submission
Create a .zip file named hw7.zip containing:
- All
.cppfiles - All
.hfiles - All
.incfiles - README
- Makefile
- gitlog.txt
Copy hw7.zip file to your local machine (using scp or pscp),
and submit it as Homework 7 on Gradescope. When you submit, gradescope
conducts a series of automatic tests. These do basic checks, e.g. to
check that you submitted the right files. If you see error messages (in
red), address them and resubmit. You may re-submit any number of times
prior to the deadline; only your latest submission will be graded. Review
the course syllabus for late submission policies (grace period and late
days), and remember that if your final submitted code does not compile,
you will likely earn a zero score for the assignment.
Remember that if your final submitted code does not compile, you will earn a zero score for the assignment.
Two notes regarding automatic checks for programming assignments:
- Passing an automatic check is not itself worth points. (There might be a nominal, low point value like 0.01 associated with a check, but that won’t count in the end.) The checks exist to help you and the graders find obvious errors.
- The automatic checks cover some of the requirements set out in the assignment, but not all. It is up to you to test your own work and ensure your programs satisfy all stated requirements. Passing all the automatic checks does not mean you have earned all the points.